महिलाओं और लड़कियों के खिलाफ हिंसा रोकने की स्थायी राह कैसे खुलेगी?

महिलाओं और लड़कियों के खिलाफ हिंसा आम है, लेकिन अक्सर यह दिखाई नहीं देती। भारत में इस किस्म की हिंसा के विरोध में महिला आंदोलनों की शुरुआत 1960 के दशक से हुई। इन आंदोलनों में महिलाओं की स्थिति और उनके साथ होने वाले व्यवहार में सुधार लाने के उद्देश्य से इस मसले को संविधान और अधिकारों के नजरिए से उठाया गया।
महिलावादी प्रयासों ने हिंसा झेल चुकी महिलाओं को सहारा देने पर ध्यान दिया। इसके तहत शेल्टर्स, काउंसलिंग, कानूनी मदद और कानूनों पर काम हुआ। 2005 का ‘घरेलू हिंसा से महिलाओं का संरक्षण अधिनियम’ इन्हीं प्रयासों का नतीजा था।
तुलनात्मक तौर पर देखा जाए तो आज स्थितियां पहले से काफी बदली हैं। अब ध्यान केवल हिंसा से निपटने पर नहीं, बल्कि उसे रोकने पर भी है। इसके लिए उन सामाजिक मान्यताओं और व्यवहारों को चुनौती देना जरूरी हो गया है, जो हिंसा को बढ़ावा देते हैं, और उसकी रिपोर्टिंग व रोकथाम के रास्ते में बाधा बनते हैं।
यह लेख मुंबई स्थित गैर-सरकारी संस्था स्नेहा के हिंसा रोकथाम के एक समुदाय-केंद्रित कार्यक्रम से मिली सीख पर आधारित है। यह बताता है कि जटिल शहरी इलाकों में महिलाओं और लड़कियों के खिलाफ हिंसा को रोकने के लिए कौन से कदम जरूरी होते हैं।
मुंबई में 40 प्रतिशत से ज्यादा घर अनौपचारिक बस्तियों में हैं। इन घरों में अक्सर जगह कम होती है, हवा और रोशनी ठीक से नहीं आती, और साफ-सफाई का भी अभाव होता है। इस सबका असर महिलाओं और बच्चों के स्वास्थ्य और सुरक्षा पर पड़ता है।
इन बस्तियों के सामाजिक और संस्थागत ढांचे में लैंगिक असमानताएं गहराई से जड़ें जमाए हुए हैं। यहां रहने वाली महिलाएं और लड़कियां हर रोज इनका सामना करती हैं। महिलाओं और लड़कियों पर दो तरह का दबाव होता है। एक तो पारंपरिक जिम्मेदारियां, उनका असमान बंटवारा और समाज की सख्त उम्मीदें। और दूसरा, इन घरों की कठिन और भीड़-भाड़ वाली जिंदगी। इन दोनों का असर उनके स्वास्थ्य और सुरक्षा पर सबसे ज्यादा पड़ता है।
इसके अलावा, जब हिंसा का सामना कर चुकी महिलाएं और बच्चे अस्पताल जाते हैं, तो उन्हें अक्सर केवल मेडिकल देखभाल ही मिलती है। उनकी भावनात्मक, सामाजिक और कानूनी जरूरतों की ओर ध्यान कम दिया जाता है।
इस फासले को पाटने के लिए, हमने ‘सेंटर फॉर वीमेन एंड चिल्ड्रन इन डिस्ट्रेस’ की स्थापना की। इसका मकसद हिंसा के छिपे रूप को सामने लाना, पारिवारिक एकता बनाए रखने की महिलाओं की इच्छा को समझना और परिवारों, समुदायों और सेवा प्रदाताओं के साथ काम करना है।
अपने काम के दौरान हमने यह पाया कि ज्यादातर मामले घरेलू हिंसा, हत्या और आत्महत्या के थे। इनमें सिर्फ काउंसलिंग काफी नहीं होती, बल्कि इसके लिए समुदाय के लोगों के साथ मिलकर काम करना पड़ता है। इससे पता चलता है कि हिंसा को रोकने और इस पर सही प्रतिक्रिया देने के लिए आघात को समझते हुए देखभाल प्रदान करने (ट्रॉमा इन्फॉर्म्ड केयर) और समुदाय की सक्रिय भागीदारी की जरूरत होती है।
असल में, जब भी कोई महिला किसी तरह की हिंसा का सामना करती है, तो समुदाय खुद भी इस हिंसा से निपटने की कोशिश करता है। उदाहरण के तौर पर, धारावी में महिलाएं छोटे समूहों में मिलकर पड़ोस की किसी महिला की मदद की योजना बनाती हैं। कुछ कहती हैं, “चलो जल्दी कार्रवाई करें और उसे अस्पताल ले जाएं।” वहीं कुछ कहती हैं, “इस बीच हम परिवार से बात करेंगे और उन्हें समझाएंगे।”
ऐसा ही गोवंडी, वडाला, कुर्ला, मालवानी और भिवंडी जैसी दूसरी बस्तियों में भी होता है। इन महिलाओं की कोशिशों की बदौलत धीरे-धीरे हिंसा के मामलों में मदद करने के समुदाय के तरीके बदल रहे हैं।
नीचे हम उन सीखों को साझा कर रहे हैं जो हमें इस काम को करते हुए मिलीं। इसमें हमने समुदाय के अनुभवों और उनकी प्रतिक्रियाओं को ध्यान में रखा है।
1. लक्ष्य तय करना और बदलाव के रास्ते बनाना
महिलाओं और लड़कियों के खिलाफ हिंसा रोकने वाले कार्यक्रम इसी लक्ष्य को पूरा करने के लिए प्रयासरत रहते हैं। यहां यह जानना जरूरी है कि हमें क्या हासिल करना है और उसके लिए कौन से कदम उठाए जाने की जरूरत है। इससे हमें पता चलता है कि जो हम करने की सोच रहे हैं, वह संभव है या नहीं, हमारे कदम सच में बदलाव लाएंगे या नहीं। साथ ही, यह भी कि हमारी प्रगति और नतीजों को कैसे मापा जा सकता है।
हमारे अनुभव के मुताबिक, ‘थ्योरी ऑफ चेंज’ (बदलाव की रूपरेखा) बनाने से कार्यक्रम का मकसद साफ होता है और यह समझ आता है कि बदलाव तक पहुंचने के लिए किन कदमों की जरूरत है। यह ये भी बताता है कि हम अपने काम का असर कैसे माप सकते हैं, सबूतों के साथ काम को मजबूत कैसे बना सकते हैं, और मौजूदा प्रयासों में कहां कमी है।
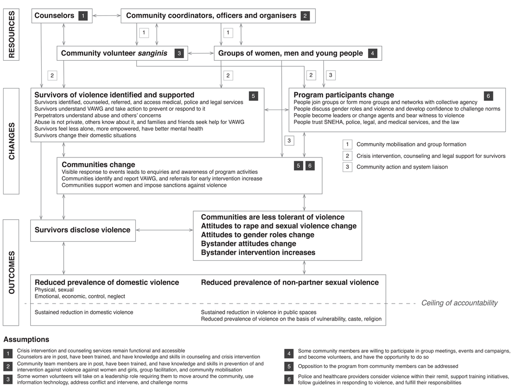
इस कार्यक्रम की थ्योरी ऑफ चेंज से हमें यह समझने में मदद मिली कि महिलाओं और लड़कियों के खिलाफ हिंसा रोकने वाले कार्यक्रमों में प्रतिक्रिया और रोकथाम आपस में जुड़े कैसे होते हैं। सर्वाइवर्स की मदद करने वाले साफ-साफ कदम लोगों में जागरूकता बढ़ाते हैं। साथ ही, समुदाय के साथ मिलकर काम करने का भरोसा बनाना भी बदलाव लाने में मदद करता है।
2. समुदाय को संगठित करने की रणनीति अपनाना
संवाद, मिल-जुलकर सीखने और स्थानीय नेतृत्व के जरिए समुदाय को संगठित करना हमारे लिए मददगार रहा है। इसमें समूह में सीखना और व्यक्तिगत भागीदारी दोनों शामिल होते हैं, जिससे समुदाय के भीतर एक दूसरे की मदद करने की एक प्रणाली बन पाती है।
महिलाओं के समूह महिलाओं को हिंसा के बारे में समझाने में मदद करते हैं। ये समूह उन्हें उनके अधिकार जानने और नेतृत्व निर्मित करने में भी सहारा देते हैं। इसी तरह, पुरुषों के समूह पुरुषों को रूढ़िवादी लैंगिक मान्यताओं को चुनौती देने और महिलाओं के खिलाफ हिंसा को रोकने व उनकी सुरक्षा बढ़ाने में सहयोग करने के लिए प्रेरित करते हैं। किशोरों और किशोरियों के समूह में सहमति, रिश्तों, स्वास्थ्य और अधिकारों पर बातचीत होती है। वे अभियानों और रचनात्मक गतिविधियों के जरिए भी काम करते हैं।
समुदाय से प्रशिक्षित महिला वॉलन्टियर या स्वयंसेवक, जिन्हें संगिनी कहते हैं, सर्वाइवर्स की तुरंत मदद करती हैं। वे उन्हें स्वास्थ्य, कानूनी और काउंसलिंग सेवाओं से जोड़ती हैं। समुदाय की बैठकें और अभियान इस काम को मजबूत बनाते हैं। इससे हिंसा सभी की चिंता बनती है और सभी मिलकर उसकी रोकथाम की जिम्मेदारी लेते हैं।
3. बदलाव को मापने के लिए निगरानी और मूल्यांकन सिस्टम अपनाना
महिलाओं और लड़कियों के खिलाफ हिंसा रोकना आसान काम नहीं है। इसके लिए साफ लक्ष्य रखना और बदलाव के रास्ते तय करना बहुत जरूरी है। हमारे अनुभव के मुताबिक ‘थ्योरी ऑफ चेंज’ बनाने से प्रोग्राम का मकसद और बदलाव तक कैसे पहुंचा जा सकता है, यह दोनों ही स्पष्ट हो जाते हैं।
अपनी थ्योरी ऑफ चेंज बनाने के बाद हमने स्नेहा के तारा (ट्रैकिंग एक्शन रीचिंग ऑल) प्रोग्राम में इसे टेस्ट किया। इस प्रोग्राम में हम महिलाओं और लड़कियों के खिलाफ हिंसा की रोकथाम के लिए समुदाय को समूहों और स्वयंसेवकों के जरिए संगठित करते हैं।
हमने यह देखने की कोशिश की कि लोगों के लिए इस मॉडल का पालन करना कितना संभव है, समूह और गतिविधियां कितनी बार और कितने समय तक होंगी, कौन-सी गतिविधियां उन्हें जोड़े रखेंगी, और कार्यक्रम को कितने बड़े इलाके में लागू किया जा सकता है।
पांच साल की तैयारी और चर्चा के बाद हमने तय किया कि ऐसे इलाके में काम होगा जिसमें लगभग 500 घर हों। महिलाओं, पुरुषों और युवाओं की मीटिंग तीन साल तक हर महीने कम से कम एक बार जरूर होगी। 24 अनौपचारिक बस्तियों में समर्थन सेवाएं और समुदाय को संगठित करने का मॉडल दोनों लागू किए गए और 24 बस्तियों में केवल समर्थन की सेवाएं दी गईं। इस क्लस्टर रैंडमाइज्ड ट्रायल में तीन साल के दौरान घरेलू हिंसा और पार्टनर की तरफ से होने वाली हिंसा (पति या साथी द्वारा की गई हिंसा) की दर में आए बदलावों को मापा गया। साथ ही, यह भी देखा गया कि हिंसा की रिपोर्टिंग, समुदाय की सोच, बाइस्टैंडर हस्तक्षेप (दूसरे लोगों द्वारा हिंसा के मामलों में बीच-बचाव करने) और लैंगिक मान्यताओं में क्या बदलाव आया।

साल 2018 से 2023 के बीच, जिन इलाकों में समुदाय को संगठित किया गया, वहां की महिलाएं हिंसा के बारे में खुलकर बताने के लिए करीब तीन गुना ज्यादा तैयार थीं। यहां चार हजार से ज्यादा सर्वाइवर्स की पहचान हुई, जिनमें से करीब तीन हजार आठ सौ ने काउंसलिंग सेवाएं लीं। इन इलाकों में घरेलू हिंसा कम हुई और हिंसा को लेकर सहनशीलता भी घटी। हालांकि पूरे इलाके की आबादी के स्तर पर यह बदलाव सांख्यिकीय रूप से महत्वपूर्ण नहीं पाया गया।
साक्ष्य-आधारित कार्यक्रम के लिए सुझाव
1. मापने के लिए मिश्रित तरीके अपनाएं
महिलाओं और लड़कियों के खिलाफ हिंसा अक्सर जटिल होती है। इसका स्वरूप बदलता रहता है और यह बार-बार होती है। इसलिए हमें पहले यह तय करना होता है कि हम क्या जानना चाहते हैं और इसे मापने का सही तरीका क्या होगा?
हालांकि सर्वे एक तरीका है, लेकिन यह हमेशा काफी नहीं होता। हिंसा की बारीकियों, इसके बदलते स्वरूप, यह कितनी बार हो रही है और इसकी गंभीरता कितनी है इसे सही से समझने के लिए लोगों के अनुभवों, उनके व्यवहार और उनकी प्रतिक्रियाओं को भी जानना जरूरी होता है।
उदाहरण के लिए, अगर हम यह जानना चाहते हैं कि लोग घरेलू हिंसा के बारे में क्या सोचते हैं, तो हम उनसे सर्वे में सवाल पूछ सकते हैं, उनसे इस तरीके से इंटरव्यू कर सकते हैं कि वे अपनी बात खुलकर और विस्तार से बता सकें, या यह देख सकते हैं कि लोग क्या कहते और करते हैं। ये सभी तरीके सही हैं। किसका इस्तेमाल करना है, यह इस बात पर निर्भर करता है कि हमारा सवाल क्या है।
तारा ट्रायल में, हमने समुदाय को संगठित करने से पहले और बाद में सर्वे किए। हिंसा की गंभीरता और यह कितनी बार होती है, यह जानने के लिए हमने दुनिया भर में इस्तेमाल होने वाले अलग-अलग तरीकों को देखकर अपने सर्वे तैयार किए। इनमें राष्ट्रीय परिवार स्वास्थ्य सर्वेक्षण, भारतीय पारिवारिक हिंसा और नियंत्रण पैमाना, और विश्व स्वास्थ्य संगठन का बहु-देशीय अध्ययन: महिलाओं के स्वास्थ्य और घरेलू हिंसा जैसे तरीके शामिल थे। सर्वे के लिए:
- समुदाय से महिलाओं को यादृच्छिक (रेंडम) ढंग से चुना गया। फिर उनसे उनकी पूरी जिंदगी में और पिछले एक साल में उनके साथी, परिवार या अन्य लोगों की तरफ से उनके साथ हुई हिंसा के उनके अनुभवों के बारे में सवाल पूछे गए।
- महिलाओं और पुरुषों को यादृच्छिक (रेंडम) रूप से चुना गया और उनसे घरेलू हिंसा और लैंगिक भूमिकाओं के बारे में उनके विचार पूछे गए।
- हिंसा का सामना कर चुकी महिलाओं और प्रोग्राम में काम करने वाले लोगों का इंटरव्यू लिया गया।
- मान्यता प्राप्त पैमानों का इस्तेमाल करके यह देखा गया कि महिलाओं में डिप्रेशन, चिंता या आत्महत्या के बारे में सोचने के लक्षण हैं या नहीं।
- महिला स्वयंसेवकों (संगिनियों) और समूह के सदस्यों से जानकारी ली गई। यह देखा गया कि उन्होंने सर्वाइवर्स की मदद में कितना समय बिताया और उन्हें किस तरह की मदद दी।
- बैठकों का अवलोकन किया गया और उनका ब्यौरा फील्ड नोट्स के रूप में दर्ज किया गया।
- स्वास्थ्य कर्मचारियों, पुलिस और कानूनी सेवाओं द्वारा दी गई मदद को रिकॉर्ड किया गया।
- अलग-अलग जगहों पर कार्यक्रम के असर को समझने के लिए जिन इलाकों में प्रोग्राम ज्यादा प्रभावी था और जिनमें कम प्रभावी था, उनकी तुलना की गई।
2. लंबे समय तक काम करने वाला सिस्टम बनाना
बदलाव हो रहा है या नहीं इसे मापने का हमारा तरीका ऐसा होना चाहिए जो लंबे समय तक काम करे और जिसे जरूरत पड़ने पर बदला जा सके। इससे हम केवल एक बार का डेटा देखकर बदलाव का अंदाजा लगाने की बजाए धीरे-धीरे और समय के साथ होने वाले बदलाव को अच्छे से समझ सकते हैं।
हमने तुरंत दिखने वाले, कुछ समय बाद दिखने वाले और लंबे समय बाद दिखने वाले नतीजों को मापने के लिए मिश्रित तरीके अपनाए। जैसे:
- हर सामुदायिक समूह की मीटिंग में प्रोग्राम से जुड़ी आसान और नियमित जानकारी इकट्ठा करना और यह देखना कि समूह के स्तर पर और व्यक्तिगत स्तर पर क्या कदम उठाए गए।
- हिंसा झेल चुकी महिलाओं और लड़कियों की जिंदगी में क्या हो रहा है उस पर नजर रखना और उन्हें मिली काउंसलिंग तथा अन्य सामुदायिक सहायता के विवरण को रिकॉर्ड करना।
- यह दर्ज करना कि संगिनियों ने महिलाओं और लड़कियों की किस तरह से मदद की। उनसे पूछना कि क्या सर्वाइवर्स बिना किसी डर के उनसे बात कर पाती हैं? क्या वे कुछ समय के लिए उनके घर में रह पाती हैं? और क्या वे सर्वाइवर्स की ओर से हस्तक्षेप कर पाती हैं?
- लोगों से प्रोग्राम और इसके असर के बारे में पूछना, ताकि यह समझा जा सके कि गतिविधियां कितने लोगों तक पहुंच रही हैं और इनसे क्या बदलाव आए हैं।
3. पुरुषों की भागीदारी को मापना
महिलाओं और लड़कियों के खिलाफ हिंसा रोकने के ज्यादातर प्रोग्राम महिलाओं पर ध्यान देते हैं। यही वजह है कि नतीजों के आकलन के तरीके भी सिर्फ महिलाओं की गतिविधियों को रिकॉर्ड करते हैं। लेकिन यह जरूरी है कि इसमें पुरुषों की भागीदारी और योगदान भी देखा जाए, खासकर उन कामों में जो महिलाओं और लड़कियों के खिलाफ हिंसा को रोकने और समुदाय को संगठित करने से जुड़े हों।
हमारा अनुभव कहता है कि पुरुष अक्सर समुदाय के बड़े मुद्दों में शामिल होते हैं। जैसे कि सड़क, बिजली, पानी जैसी सुविधाओं में सुधार और समुदाय में महिलाओं व लड़कियों की सुरक्षा बढ़ाना। हिंसा के मामले संवेदनशील होते हैं और इनमें पुरुषों की सीधी भागीदारी कम होती है। इसलिए, मापने का तरीका सामुदायिक प्रयासों में पुरुषों की भागीदारी और योगदान पर ध्यान दे सकता है। खासकर उन सामुदायिक प्रयासों में, जो समुदाय की सुरक्षा और सुविधाओं को बेहतर बनाते हैं।
हमनें इसे इस तरह मापा:
- हर पुरुष समूह की मीटिंग में शामिल पुरुषों की संख्या दर्ज की।
- लैंगिक पहचान और हिंसा के बारे में पुरुषों की सोच को जानने के लिए सर्वे किए।
- समुदाय में पुरुषों द्वारा किए गए बाइस्टैंडर हस्तक्षेप के उदाहरणों को दर्ज किया।
- संगिनियों और समूह के सदस्यों को पुरुषों द्वारा दी गई मदद के प्रमाण इकट्ठे किए।
4. समुदाय के नेतृत्व वाली कोशिशों के जरिए हिंसा रोकने को प्राथमिकता देना
प्रोग्राम बनाते समय ध्यान रखा जाना चाहिए कि प्रतिभागी यह समझ सकें कि महिलाओं और लड़कियों के खिलाफ हिंसा बर्दाश्त नहीं की जा सकती। इसमें हम सर्वाइवरों, संभावित अपराधियों और आस-पास के लोगों को शामिल कर सकते हैं। इससे लोगों में जागरूकता बढ़ेगी, उनमें अपराधियों को रोकने की प्रवृत्ति विकसित होगी और यह भरोसा पैदा होगा कि बदलाव संभव है।
हिंसा की रोकथाम करना प्रोग्राम का मुख्य लक्ष्य होना चाहिए। इसे ऐसे सहभागी और भागीदारी वाले तरीकों में शामिल किया जाना चाहिए, जो यह मानते हों कि महिलाओं और लड़कियों की सुरक्षा, गरिमा और न्याय बढ़ाने में सामूहिक प्रयास ही सबसे जरूरी होते हैं। सबूत बताते हैं कि कार्यक्रम को ऐसे सामुदायिक प्रयासों को लगातार समर्थन देना चाहिए, ताकि समुदाय महिलाओं और लड़कियों के खिलाफ हिंसा को सहन न करे।
हमने इस लक्ष्य को हासिल करने के लिए ये काम किए:
- सभी समूह बैठकों में सामूहिक काम पर जोर दिया और सामूहिक गतिविधियों को प्रोत्साहित किया।
- सर्वाइवर्स की पहचान करने और उनकी मदद करने के लिए समन्वित प्रयासों को आसान बनाया।
- समूह की हरेक बैठक में, सर्वे और इंटरव्यू में यह रिकॉर्ड किया कि ये कदम उठाए गए या नहीं।
- समूहों को बड़े कार्यक्रमों में एक साथ लाकर उनकी सीख साझा की और सामूहिक प्रयासों को बढ़ावा दिया।
5. समुदाय और संस्थानों को मजबूत बनाना
कार्यक्रम का काम समुदाय के समूहों को सशक्त बनाना होना चाहिए, ताकि लोग हिंसा के खिलाफ आगे आकर बोलने और मदद करने में आत्मविश्वास महसूस करें। साथ ही, यह सुनिश्चित करना भी जरूरी है कि सर्वाइवर्स को समय पर और सही मदद मिल सके। इसमें गैर-सरकारी संगठनों, अस्पताल, पुलिस, डॉक्टर से मिलने वाली मदद और कानूनी सहायता शामिल है।
हमने इसके लिए ये कदम उठाए:
- पुलिस अधिकारियों को ट्रेनिंग दी और उनके साथ मिलकर साफ प्रक्रियाएं बनाईं।
- सर्वाइवर्स से बात की ताकि यह समझा जा सके कि इन प्रक्रियाओं का पालन हो रहा है या नहीं और हिंसा के मामलों में पुलिस की प्रतिक्रिया बेहतर हुई है या नहीं।
- स्वास्थ्य सेवाओं से जुड़े लोगों को ट्रेनिंग दी, ताकि वे मिलकर और सही तरीके से सर्वाइवर्स की मदद कर सकें और इन कोशिशों को दर्ज किया।
- प्रशिक्षित कानूनी सलाहकार (पैरालीगल) स्वयंसेवकों का समूह बनाया, जिन्होंने वकीलों और प्रोटेक्शन अधिकारियों के साथ मिलकर सर्वाइवर्स की मदद की और कानूनी मदद का रिकॉर्ड भी रखा।
- आंगनवाड़ी कार्यकर्ताओं और शिक्षकों को भी सामुदायिक प्रयासों में शामिल किया, ताकि हिंसा रोकने के प्रयासों को और ज्यादा मजबूती मिल सके।
महिलाओं और लड़कियों के खिलाफ हिंसा रोकने वाले कार्यक्रमों को केवल आपातकालीन मदद या नए कानूनों तक सीमित नहीं किया जा सकता। हमें समुदाय के नेतृत्व वाली ऐसी कोशिशों की जरूरत है जिनमें निरंतरता हो, तभी लोगों की सोच और उनके रोजमर्रा के काम करने के तरीकों में बदलाव आ सकेगा।
मुंबई की अनौपचारिक बस्तियों में काम के हमारे अनुभव से पता चलता है कि बदलाव की शुरुआत तब होती है जब महिलाएं एक साथ आती हैं, पुरुष रूढ़िवादी मान्यताओं पर विचार करते हैं, युवा सम्मान और सहमति के बारे में सीखते हैं, और पुलिस, स्वास्थ्य सेवाएं और कानूनी सिस्टम अपनी भूमिका को समझते हुए जरूरी मदद प्रदान करते हैं।
प्रगति अक्सर धीरे-धीरे होती है और शुरुआत में परिणाम बहुत बड़े या साफ नहीं दिखते। लेकिन जब समुदाय खुद जिम्मेदारी लेता है और कार्यक्रम को लगातार मापा और सुधारा जाता है, तो मजबूत और टिकाऊ बदलाव आ पाता है। हिंसा रोकने में निवेश करने, स्थानीय नेतृत्व को समर्थन प्रदान करने और मजबूत साझेदारी बनाने से ही दीर्घकालीन बदलाव आ सकता है। स्थायी बदलाव तभी संभव है जब हिंसा खत्म करने की मुहिम का नेतृत्व समुदाय ही करे।
इस लेख को अंग्रेजी में पढ़ें।
—
अधिक जानें
लेखक के बारे में
डेविड ओस्रिन यूनाइटेड किंगडम के यूसीएल वैश्विक स्वास्थ्य संस्थान में वैश्विक स्वास्थ्य के प्रोफेसर और शोध निदेशक हैं। उन्होंने मुंबई में स्नेहा के साथ मिलकर कई शोध कार्य किए हैं, खासकर महिलाओं और लड़कियों के खिलाफ हिंसा को रोकने और झुग्गी-बस्तियों में रहने वाले लोगों के स्वास्थ्य से जुड़े मुद्दों पर। उनका काम और अध्यापन मुख्य रूप से शहरी स्वास्थ्य, अलग-अलग क्षेत्रों को जोड़कर काम करने (जैसे कला और स्वास्थ्य को साथ लाना) और समुदाय की भागीदारी पर केंद्रित है। डेविड यूसीएल बहु-विषयक शोध केंद्र के संस्थापक सदस्यों में भी शामिल हैं।
नायरीन दारूवाला मुंबई की स्नेहा संस्था में महिलाओं और बच्चों के खिलाफ हिंसा रोकने वाले कार्यक्रम से जुड़ी हैं और इस काम को आगे बढ़ाने में अहम भूमिका निभाती हैं। वह एक पब्लिक हेल्थ रिसर्चर, मनोवैज्ञानिक और सामाजिक क्षेत्र की अनुभवी लीडर हैं। उन्हें 25 से ज्यादा वर्षों का अनुभव है। उन्होंने भारत के शहरों में रहने वाले गरीब समुदायों के साथ काम करते हुए महिलाओं और बच्चों के खिलाफ हिंसा, मानसिक स्वास्थ्य और यौन व प्रजनन स्वास्थ्य जैसे मुद्दों पर काम किया है। स्नेहा में उनका काम यह सुनिश्चित करना है कि इस क्षेत्र में सही दिशा में काम हो, जमीन पर किए जा रहे काम से सीखकर मजबूत जानकारी (सबूत) तैयार हो, और इन मुद्दों पर नीतियों में सुधार के लिए आवाज उठाई जाए। साथ ही, “स्नेहा नॉलेज सेंटर” के जरिए वे इस काम के असर को और ज्यादा लोगों तक पहुंचाने में भी मदद करती हैं।